2012年7月14日 星期六

有理化指數 Definition of Rational Exponents

代數13
1.  有理化指數的定義Definition of Rational Exponents
我們設定a實數n正整數,因此an方後產生根數,也會是實際存在的數值
Rossini: Ouverture (La gazza ladra)

a1/n定義是 a1/nna
在這裡1/na有理指數rational exponent
更進一步說明,如果m是正整數,與n之間沒有共同因數,那麼
am/n(a1/n)m(nam)
同樣地 am/n(a m) 1/n(nam)
2.     有理指數如果是一個分數,那麼有理指數的分子就是底數要乘的次方the power,有理指數的分母就是「要開的根」或「根指數」the index or the root
3.     當你運算有理指數時,一切依據整數指數的運算性質。舉例來說,21/221/32(1/2)+(1/3)25/6
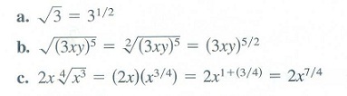
4.     【例題1將根數變為指數 Changing From Radical to Exponential Form
5.     【例題2將指數變為根數 Changing From Exponential to Radical Form
對計算來說,有理指數對衡量一個數字的根十分有用,簡化根指數,也能簡化計算的方程式。
6.     【例題3簡化有理指數 Simplifying with Rational Exponents
為什麼例題3e)方程式中的x不能是1/2?因為當x1/2時,會發生底數是0的情況,0的次方是沒有意義的。

n   翻譯編寫Ron Larson and David C. FalvoAlgebra and Trigonometry 

沒有留言:

張貼留言